Studentereksamen
Prøvesættet må alene anvendes til den på prøvesættet anførte prøve.
Al anden anvendelse af prøvesættet, herunder visning eller deling f.eks. via internettet, sociale medier, portaler og bøger, udgør en krænkelse af Børne- og Undervisningsministeriets og evt. tredjemands ophavsret og er ikke tilladt.
Overtrædelse af ophavsretten kan være erstatningspådragende og/eller strafbart.
Prøvesættet kan dog, efter at prøven er afsluttet, anvendes til undervisningsbrug på uddannelser m.v. omfattet af den lovgivning, som Styrelsen for Undervisning og Kvalitet administrerer.
Opgave 1
Figur 1.1 Tina Sølbek Schmidt
Figur 1.2 Peder Kjær Gasbjerg
Figur 1.3 A Tina Sølbek Schmidt
Figur 1.3 B Tina Sølbek Schmidt
Opgave 2
Video 2.1 Kim Bruun
Figur 2.1 Kim Bruun
Figur 2.2 Kim Bruun
Opgave 3
Figur 3.1 Peder Kjær Gasbjerg
Figur 3.2 Rune Harbo Lehmann
Figur 3.3 Peder Kjær Gasbjerg
Opgave 4
Figur 4.1 Colourbox
Figur 4.2 Peder Kjær Gasbjerg
Figur 4.3 Peder Kjær Gasbjerg
Figur 4.4 Peder Kjær Gasbjerg
Figur 4.5 Peder Kjær Gasbjerg
Af opgaverne 3 og 4 skal én og kun én af opgaverne besvares.
| Hvert år produceres der på verdensplan mere end 70.000 tons indigo, som anvendes til farvning af blå cowboybukser. I den konventionelle produktion anvendes store mængder af natriumhydroxid samt flere forskellige typer af syrer, og der sker også udledning af tungmetaller med spildevandet. Der arbejdes intensivt på at finde mere miljørigtige alternativer til produktionen. Planten Japansk indigo producerer indoxyl og enzymet PtUGT1. Dette enzym kan omdanne indoxyl til indican, som er et forstadie til indigo. |
![]() |
| Figur 4.1 |

1. Angiv enzymhovedklassen for PtUGT1. Begrund dit svar ved inddragelse af figur 4.2.
PtUGT1 er dog ikke særlig stabilt i oprenset form. Derfor arbejder man på at lave en udgave af enzymet, som er mere stabilt. Man har blandt andet lavet mutationer i genet for PtUGT1, som medfører en udskiftning af aminosyren glutamin i codon 86 til lysin og en udskiftning af aminosyren serin i codon 413 til lysin i proteinet.
2. Giv forslag til, hvordan disse mutationer kan være med til at danne stærkere intermolekylære bindinger og dermed stabilisere enzymets tertiære struktur.
For at danne PtUGT1 i store mængder bruges et plasmid som vektor, der indsættes i bakterien Escherichia coli. Herefter dannes proteinet af E. coli. For at oprense PtUGT1 anvendes et såkaldt strep-tag. Et strep-tag består af 8 aminosyrer som sidder i den ene ende af PtUGT1, og der laves chromatografisk oprensning kaldet søjlechromatografi, efterfulgt af gelelektroforese af proteinet. Princippet i oprensningen og gelelektroforesen er vist i figur 4.3.

3. Skriv en forklarende figurtekst til figur 4.3.
For at undersøge stabiliteten af det oprensede PtUGT1 under forskellige forhold udføres nogle eksperimenter med det normale og det muterede PtUGT1.
4. Analysér figur 4.4.
Mange firmaer beskyldes for greenwashing1. Figur 4.5 viser udvalgte miljøpåvirkninger ved henholdsvis produktionen af farvestoffet og selve farvningsprocessen af fx cowboybukser.

5. Udvælg tre af fem faktorer vist i figur 4.5, og diskuter, i hvor høj grad den enzymatiske proces kan betegnes som greenwashing.
Af opgaverne 3 og 4 skal én og kun én af opgaverne besvares.
Gonoré er en seksuelt overført sygdom, som skyldes en infektion med bakterien Neisseria gonorrhoeae. Under en infektion producerer N. gonorrhoeae en ekstracellulær1 protease, der kan binde til Immunoglobulin A (IgA), som er det primære antistof i slimhinder.
1. Forklar, hvilken fordel bakterien har ved at danne denne protease.
For at finde ud af, om man er inficeret med bakterien, kan man lave PCR og efterfølgende gel-elektroforese. Figur 3.1 viser resultatet af sådan et test på 3 personer.

2. Analysér resultaterne på figur 3.1.
Figur 3.2 viser et alignment mellem forskellige stammer af gonoré-bakterien og to nærtbeslægtede, men ikke sygdomsfremkaldende bakterier. På figuren er også vist bindingsstedet for én af de to primere, som bruges til at lave PCR-testen for, om man er smittet med gonoré.

3. Vurder med udgangspunkt i figur 3.2 om man kan stole på testens resultater.
N. gonorrhoeae har såkaldt supersnoet DNA, hvilket betyder, at dets cirkulære kromosom er snoet omkring sig selv. Infektionen er traditionelt blevet behandlet med antibiotikaet Ciprofloxacin. Stoffets påvirkning på N. gonorrhoeae er vist i figur 3.3.

4. Forklar med udgangspunkt i figur 3.3, hvordan Ciprofloxacin virker mod gonoré.
I de senere år er der opstået udgaver af N. gonorrhoeae, som er resistente mod Ciprofloxacin.
5. Giv forslag til en metode, som kan undersøge, om en stamme af N. gonorrhoeae er resistent over for Ciprofloxacin.
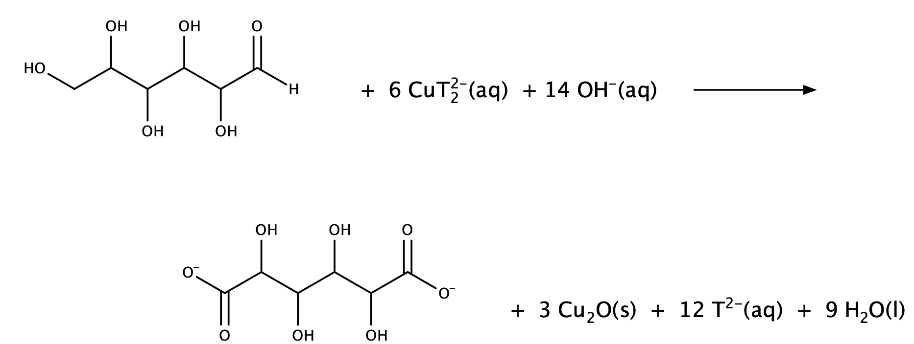
Når en vinbonde skal afgøre, hvornår druerne skal høstes, bestemmer hun koncentrationen af glucose i mosten fra nogle enkelte druer. Først reagerer glucose med overskud af blå kobber(2+) bundet til tartrat (tartrat har formlen C4H4O62-, men er her forkortet T2-):
A)

Senere reagerer den resterende mængde kobber(2+) med iodid:
B) 2 Cu2+(aq) + 5 I-(aq) 2 CuI(s) + I3-(aq)
Kobber(1+)iodid er hvidt. Det lysbrune triiodid (I3-) titreres med thiosulfat:
C) I3-(aq) + 2 S2O32-(aq) 3 I-(aq) + S4O62-(aq)
Alle tre reaktioner er redoxreaktioner.
1. Vælg én af de tre reaktioner og argumentér for, at det er en redoxreaktion.
På video 2.1 ses en elev udføre bestemmelse af glucosekoncentrationen i prøver fra to forskellige drueklaser. I videoen er 8 tidspunkter markeret med grønne tal.
Video 2.1
2. Vurder kvaliteten af det praktiske laboratoriearbejde ved at kommentere 3 af de 8 detaljer i videoen. Tidspunktet for detaljerne er markeret med grønne tal.
Af video 2.1 fremgår det, at ved titrering af prøve 2 forbruges et mindre volumen thiosulfatopløsning for at nå ækvivalenspunktet end ved prøve 1.
3. Argumentér for, at et lavt ækvivalensvolumen af S2O32-(aq) svarer til en høj koncentration af glucose. Inddrag reaktionsskemaerne A, B og C.
Når vinbonden har konstateret, at glucosekoncentrationen er høj nok, presses druerne, og der tilsættes gær. Under den efterfølgende gæring omsætter gærceller glucose til ethanol under anaerobe forhold. Sidste led er en reduktion af ethanal til ethanol, og reaktionen katalyseres af enzymet alkohol-dehydrogenase:

4. Forklar, hvorfor det er nødvendigt for gærcellerne at lave NAD+, for at gæringen kan fortsætte.
Forskere afmålte 25 mL af den samme aktive gærkultur, stillede dem ved fire forskellige temperaturer og akklimatiserede1 dem. Resultaterne fremgår af figur 2.2.
| t/°C | CO₂-produktion /(mL/time) |
|---|---|
| 20 | 9,8 |
| 25 | 14,7 |
| 30 | 29,6 |
| 33 | 40,8 |
Figur 2.2 CO2-produktion ved fire forskellige temperaturer og en eksponentiel tendenskurve.
5. Beregn produktionen af carbondioxid ved 27,5 ºC og 40 ºC ud fra modellen, og vurder modellens pålidelighed ved de to punkter.
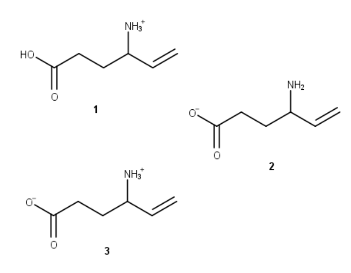
Epilepsi er en sygdom, hvor der forekommer krampeanfald, som kan være voldsomme - især hos små børn. Lægemidlet Vigabatrin anvendes for at forhindre disse krampeanfald.

1. Redegør for, om Vigabatrin findes i stereoisomere former. Inddrag figur 1.1.
Krampeanfaldene, som opstår hos små børn med epilepsi, skyldes for lave koncentrationer af transmitterstoffet GABA i hjernen. Vigabatrin binder til enzymet GABA-T, se figur 1.2.

2. Forklar, med udgangspunkt i figur 1.2, hvordan Vigabatrin kan forøge koncentrationen af GABA i synapsespalten.
For at undersøge hvordan Vigabatrin påvirker enzymet GABA-T, laves en række forsøg med måling af reaktionshastigheden for nedbrydningen af GABA. Uden Vigabatrin er vmax ca. 0,80 mM/s og Km er ca. 0,82 mM for GABA-T.
Datafil1.1 viser resultater for forsøg lavet på GABA-T med Vigabatrin tilsat.
3. Vurder, om Vigabatrin hæmmer GABA-T kompetitivt eller non-kompetitivt. Inddrag datafil1.1.
For at Vigabatrin har den ønskede effekt, er det vigtigt, at det kan optages i kroppen. Figur 1.3 A viser et bjerrumdiagram for Vigabatrin og figur 1.3 B viser strukturformler for de tre former af Vigabatrin.


4. Angiv placeringen af de tre former af Vigabatrin i bjerrumdiagrammet, og bestem med udgangspunkt i figur 1.3 pKS for COOH-gruppen og for NH3+-gruppen i Vigabatrin.
Lægemidler optages i praksis på tre forskellige måder:
1. Simpel diffusion
2. Faciliteret diffusion
3. Aktiv transport
5. Vurder ved hvilken/hvilke af de tre transportformer, Vigabatrin optages fra blodbanen over i cellerne ved pH 7,4. Inddrag figur 1.3 B.
Prøven
Opgavesættet består af 4 opgaver. Opgaverne 1 og 2 skal begge besvares. Kun en af opgaverne 3 og 4 skal besvares.
Opgavebesvarelsen
Din opgavebesvarelse skal afleveres i et samlet dokument, gemt i pdf-format.
Bedømmelse
Ved bedømmelsen af din besvarelse lægges vægt på din evne til, at:
Der gives én karakter på baggrund af en helhedsbedømmelse.
Onsdag den 20. august 2025
Kl. 9.00-14.00