Bioteknologi A
Kl 09.00-14.00
Vejledning
Prøven
Opgavesættet består af 4 opgaver. Opgaverne 1 og 2 skal begge besvares. Kun én af opgaverne 3 og 4 skal besvares.
Opgavebesvarelsen
Din opgavebesvarelse skal afleveres i et samlet dokument, gemt i pdf-format.
Bedømmelse
Ved bedømmelsen af din besvarelse lægges vægt på din evne til, at:
| - | anvende fagbegreber og fagsprog og relevante repræsentationer og modeller til beskrivelse, forklaring og analyse | |
| - | formulere sig struktureret om bioteknologiske emner, inddrage relevant viden og give sammenhængende faglige forklaringer | |
| - | vurdere eksperimentelt arbejde og dets tilrettelæggelse | |
| - | bearbejde data fra kvalitative og kvantitative eksperimenter og undersøgelser og vurdere resultaterne herfra | |
| - | analysere og diskutere data og eksperimentelle resultater under inddragelse af relevant faglig viden | |
| - | gennemføre og præsentere relevante beregninger ved korrekt brug af fagsprog, herunder anvende relevante matematiske modeller og metoder | |
| - | benytte relevante fagspecifikke digitale værktøjer hensigtsmæssigt | |
| Der gives én karakter på baggrund af en helhedsbedømmelse. | ||
Opgave 1 Coronavirus
Coronavirus er en gruppe af RNA-virus. Den såkaldte cluster 5-variant blev opdaget i november 2020. I forhold til den oprindelige Wuhan-variant har den tre mutationer i det såkaldte spike-protein.
| Mutation | Triplet | Oprindelig Wuhan-variant | cluster 5-variant |
| ΔH69, ΔV70 | 69 og 70 | His-Val | (mangler) |
| Y453F | 453 | Tyr | Phe |
| I692V | 692 | Ile | Val |
| 1. | Angiv, hvilken basesubstitution i virus, der kan give anledning til, at isoleucin udskiftes med valin. |
|
| 2. | Forklar, hvilken af de tre mutationer vist på figur 1.1, der sandsynligvis giver den mindste ændring i spike-proteinets tertiære struktur. |
Det antivirale lægemiddel1 remdesivir bruges i nogle tilfælde til behandling af patienter med corona-virussygdommen Covid-19. I kroppen hydrolyseres remdesivir til det aktive stof, der ofte kaldes GS-441524 - se figur 1.2.
Figur 1.2 Ufærdigt reaktionsskema for hydrolysen af remdesivir.
Marvinsketchfil af figur 1.2
Chemsketchfil af figur 1.2
| 3. | Færdiggør reaktionsskemaet for hydrolysen påbegyndt i figur 1.2. |
GS-441524 ligner meget et molekyle, der er essentiel for virus, se figur 1.3.
Figur 1.3 Den kemiske struktur af GS-441524 og en lignende essentiel forbindelse for virus.
| 4. | Giv forslag til, hvordan remdesivir kan virke antiviralt. Inddrag figur 1.3. |
Det første gennembrud i at beskytte mennesker mod Covid-19 kom i 2020 og er en mRNA-vaccine. Her indsprøjtes der mRNA, som i kroppen translateres til spike-protein fra virus’ overflade. Dette protein aktiverer immunforsvaret til at producere antistoffer mod spike-proteinet.
| 5. |
Diskuter fordele og ulemper ved brugen af mRNA-vaccine i forbindelse med et af følgende problemer:
|
1 Lægemiddel anvendt mod virussygdomme.
Opgave 2 Urinsyregigt
| Urinsyregigt er en smertefuld sygdom, der kan føre til nedsat bevægelighed. Sygdommen kan skyldes, at nyrerne ikke udskiller tilstrækkeligt med ureat i forhold til den mængde, som kroppen producerer. Herved ophobes natriumureat i leddene. |
|
I kroppen dannes ureat ved nedbrydning af puriner. Figur 2.2 viser et af trinnene i denne nedbrydning, hvor molekylet xanthin omdannes til urinsyre.
Figur 2.2 Nedbrydning af purinen xanthin til urinsyre.
| 1. | Angiv enzymklassen for det enzym, der katalyserer nedbrydning af xanthin til urinsyre. |
Urinsyregigt kan behandles med et lægemiddel, der hæmmer nedbrydningen af xanthin til urinsyre. Det aktive stof i lægemidlet kaldes allopurinol og er vist i figur 2.3.
Figur 2.3 Den kemiske struktur af allopurinol.
Allopurinol binder sig til det enzym, der omdanner xanthin til urinsyre. Datafil 2.1 viser data for enzymet uden allopurinol og enzymet med allopurinol.
| 2. | Afbild data fra datafil 2.1 og vurder, om allopurinol hæmmer enzymet kompetitivt eller non-kompetitivt. |
Det sidste trin i den kemiske syntese af allopurinol er vist i figur 2.4.
| Reaktant 1 | Reaktant 2 | Allopurinol |
Figur 2.4 Syntese af allopurinol
MarvinSketchfil af figur 2.4
ChemSketchfil af figur 2.4.
| 3. | Beregn udbyttet af allopurinol, når der anvendes 50 g af reaktant 1 og 10 g af reaktant 2. |
En koncentration på 6,8 mg /100 mL er grænsen for, hvornår en behandling af urinsyregigt anbefales. En person fik målt et indhold af urinsyre i blodet på 0,50 mM. Molarmassen af urinsyre er 168,11 g/mol.
| 4. | Vurder, om personen kræver behandling for urinsyregigt. |
Forskere har en hypotese om, at kød og sukker øger risikoen for udvikling af urinsyregigt, mens C-vitamin og kaffe nedsætter risikoen.
| 5. | Opstil et eksperiment, der undersøger betydningen af disse fire bestanddele af kosten for udvikling af urinsyregigt. |
Af opgaverne 3 og 4 skal én og kun én af opgaverne besvares.
Strukturen af glutaminsyre er vist på figur 3.2.
Marvinsketchfil af figur 3.2
Chemsketchfil af figur 3.2
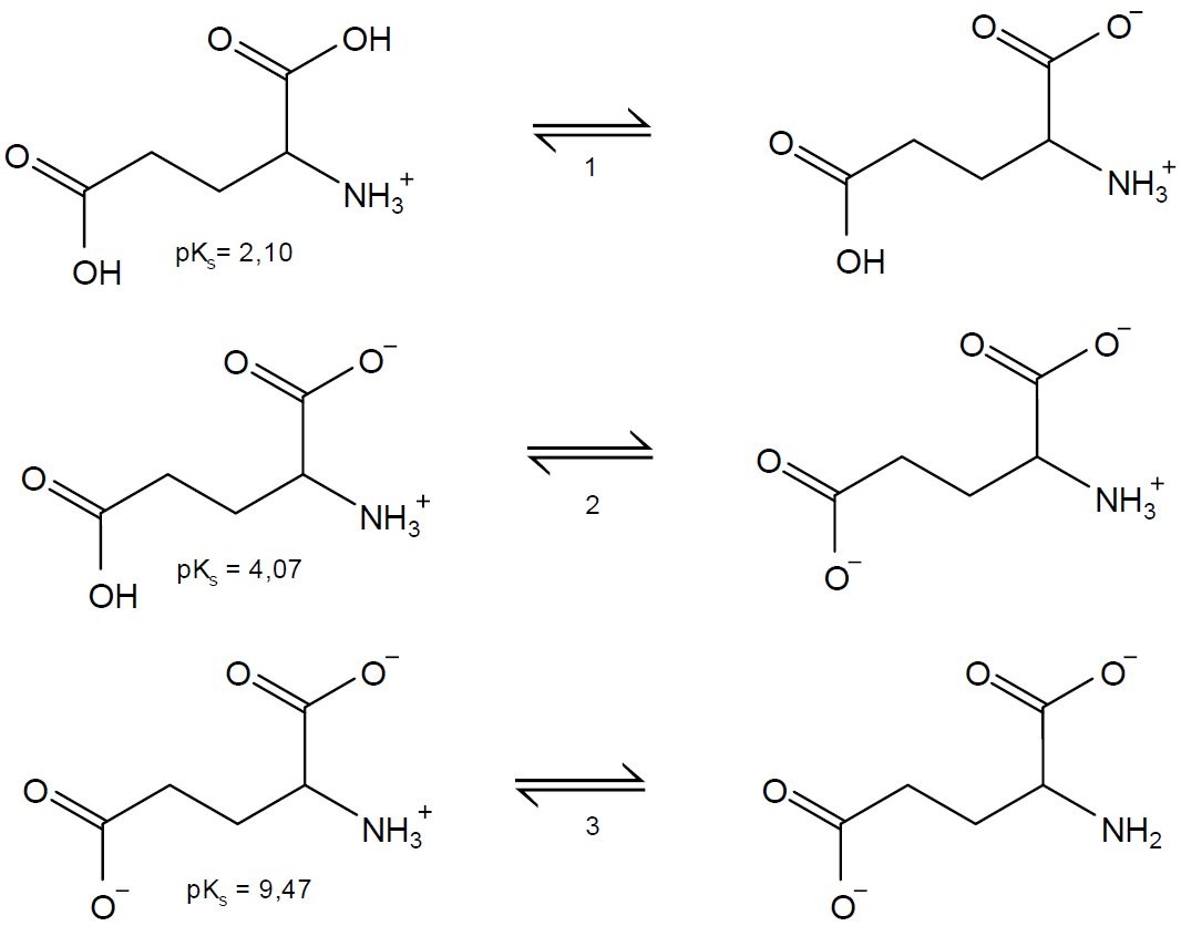
Glutaminsyre indgår i følgende ligevægtssystem af organiske syrer:
For at konstruere et bjerrumdiagram for ligevægt 1 i figur 3.3 har en elev udregnet, at ved pH = 2,70 er syrebrøken 0,2.
Figur 3.4 viser det fulde bjerrumdiagram for ligevægtene vist i figur 3.3.
I spyt er pH ca. 6,7.
Forskere har undersøgt, om stoffet inosinatmonofosfat (IMP), som også findes i kød, har betydning for umamismagen. Forskerne har tilsat varierende mængder af IMP og glutamat til kulturer af modificerede smagsceller. Smagscellerne er modificeret, så de fluorescerer, når de aktiveres. Figur 3.5 viser resultat af forsøget.
Opgave 3 Fermentering af grøntsager
For at spise mere klimavenligt skal vi spise mindre kød og flere grøntsager. Problemet ved at ændre kostvaner er for mange, at umamismagen fra kød ikke findes i friske grøntsager. Umamismagen kommer fra frie aminosyrer, især glutaminsyre. For at øge smagen af umami i grøntsager kan man fermentere grøntsagerne. Det viser sig, at jo højere koncentrationen af aktive proteaser er under fermenteringen, jo mere umamismag er der i produktet.
|
Figur 3.1 Fermenterede grøntsager. |
Strukturen af glutaminsyre er vist på figur 3.2.
Figur 3.2 Den kemiske struktur af glutaminsyre ved neutral pH.
Marvinsketchfil af figur 3.2
Chemsketchfil af figur 3.2
| 2. | Forklar hvilken af de to markerede grupper, som indgår i peptidbindingen mellem aminosyrerne i et protein. |
Glutaminsyre indgår i følgende ligevægtssystem af organiske syrer:
Figur 3.3 Forsimplet ligevægtssystem for glutaminsyre.
For at konstruere et bjerrumdiagram for ligevægt 1 i figur 3.3 har en elev udregnet, at ved pH = 2,70 er syrebrøken 0,2.
| 3. | Vis ved beregning, at eleven har regnet rigtigt. |
Figur 3.4 viser det fulde bjerrumdiagram for ligevægtene vist i figur 3.3.
Figur 3.4 Bjerrumdiagram for ligevægtssystemet.
I spyt er pH ca. 6,7.
| 4. | Argumentér for hvilken form af glutaminsyre, som aktiverer smagsreceptorerne i munden. Inddrag figur 3.4. |
Forskere har undersøgt, om stoffet inosinatmonofosfat (IMP), som også findes i kød, har betydning for umamismagen. Forskerne har tilsat varierende mængder af IMP og glutamat til kulturer af modificerede smagsceller. Smagscellerne er modificeret, så de fluorescerer, når de aktiveres. Figur 3.5 viser resultat af forsøget.
Figur 3.5 Billeder af forsøg med varierende mængder glutamat og IMP tilsat til modificerede smagsceller. Det samlede antal modificerede smagsceller er ens i alle forsøg.
| 5. | Analysér figur 3.5. |
Af opgaverne 3 og 4 skal én og kun én af opgaverne besvares.
Der er stor interesse for at udskifte syntetiske farvestoffer med naturlige. Almindelige orange gulerødder indeholder β-caroten, som giver orange farve, mens lilla gulerødder indeholder forskellige anthocyaniner, som kan give et spektrum af røde og lilla farver. Et af anthocyaninerne er cyanidin-3-xylosylglycosylgalactosid (CXGG). Figur 4.2 viser en orange gulerod og en lilla gulerod samt den kemiske struktur af deres dominerende farvestof.
En elev undersøger indholdet af farvestofferne i henholdsvis orange og lilla gulerødder vha. den chromatografiske metode tyndtlagschromatografi (TLC). Farvestofferne ekstraheres fra gulerødderne med ethanol. Derefter sættes ekstraktet på silicaplader. Forsøget udføres to gange med hver sin løbevæske, og resultatet er vist i figur 4.3.
Indholdet af anthocyaninet CXGG i de lilla gulerødder blev undersøgt ved hjælp af spektrofotometri. Der blev lavet seks standardopløsninger af CXGG. Absorbansen af standardopløsningerne er vist i datafil 4.1.
Fra 100 g gulerod blev der ekstraheret CXGG i 1,00 L opløsningsmiddel. Prøven fortyndes derefter 10 gange, og absorbansen blev målt til 0,749.
For at øge indholdet af CXGG i de lilla gulerødder vil man forsøge at transformere dem. Ved metoden overfører man to gener på samme tid, som indsættes på to forskellige kromosomer. Genet A medfører en øget produktion af CXGG, mens genet M er et markørgen, som man kan selektere de transformerede gulerødder med. For at slippe af med markørgenet i de transformerede gulerødder, selvbestøver man dem.
Figur 4.4 To af gulerodens kromosompar er vist. Den blå boks symboliserer det indsatte gen M, og den røde boks symboliserer genet A.
Opgave 4 Farvestoffer i gulerødder
|
Gennem flere hundrede år har mennesket udnyttet evolutionære mekanismer til at forædle vilde gulerødder til moderne gulerødder. Se figur 4.1.
|
Figur 4.1 De to øverste gulerødder er vilde gulerødder. De to gulerødder nederst er moderne gulerødder. |
Der er stor interesse for at udskifte syntetiske farvestoffer med naturlige. Almindelige orange gulerødder indeholder β-caroten, som giver orange farve, mens lilla gulerødder indeholder forskellige anthocyaniner, som kan give et spektrum af røde og lilla farver. Et af anthocyaninerne er cyanidin-3-xylosylglycosylgalactosid (CXGG). Figur 4.2 viser en orange gulerod og en lilla gulerod samt den kemiske struktur af deres dominerende farvestof.
Figur 4.2 Orange og lilla gulerod samt strukturformlen af β-caroten (orange) og CXGG (lilla).
En elev undersøger indholdet af farvestofferne i henholdsvis orange og lilla gulerødder vha. den chromatografiske metode tyndtlagschromatografi (TLC). Farvestofferne ekstraheres fra gulerødderne med ethanol. Derefter sættes ekstraktet på silicaplader. Forsøget udføres to gange med hver sin løbevæske, og resultatet er vist i figur 4.3.
Figur 4.3 Resultatet af TLC hvor ekstraktet fra henholdsvis lilla og orange gulerødder er påsat silicapladen. Løbevæsken i A er vand og løbevæsken i B er en blanding af heptan:propanon:ethanol i forholdet 75:20:5. Den øverste streg angivet i de to figurer viser løbevæskens front.
| 2. | Analysér resultaterne fra forsøget vist i figur 4.3. Inddrag figur 4.2. |
Indholdet af anthocyaninet CXGG i de lilla gulerødder blev undersøgt ved hjælp af spektrofotometri. Der blev lavet seks standardopløsninger af CXGG. Absorbansen af standardopløsningerne er vist i datafil 4.1.
Fra 100 g gulerod blev der ekstraheret CXGG i 1,00 L opløsningsmiddel. Prøven fortyndes derefter 10 gange, og absorbansen blev målt til 0,749.
| 3. | Afbild data fra datafil 4.1 og beregn indholdet af CXGG i lilla gulerødder. Angiv indholdet i mg/L. |
For at øge indholdet af CXGG i de lilla gulerødder vil man forsøge at transformere dem. Ved metoden overfører man to gener på samme tid, som indsættes på to forskellige kromosomer. Genet A medfører en øget produktion af CXGG, mens genet M er et markørgen, som man kan selektere de transformerede gulerødder med. For at slippe af med markørgenet i de transformerede gulerødder, selvbestøver man dem.
Figur 4.4 To af gulerodens kromosompar er vist. Den blå boks symboliserer det indsatte gen M, og den røde boks symboliserer genet A.
| 4. | Argumentér for, at man ved selvbestøvning af guleroden med genotypen vist i figur 4.4, kan få gulerødder uden markørgenet, som samtidig er homozygote for genet A. |
|
| 5. | Diskuter anvendelsen af disse gensplejsede gulerødder som kilde til anthocyaniner. |
Filer til opgaverne
| Filnavn | Opgave | Figur | Beskrivelse |
| 194190_figur_1_2.mrv | 1 | 1.2 | Marvin sketch fil |
| 194190_figur_1_2.sk2 | 1 | 1.2 | Chemsketch fil |
| 194190_datafil_2_1 | 2 | - | Excel datafil |
| 194190_figur_2_4.mrv | 2 | 2.4 | Marvin sketch fil |
| 194190_figur_2_4.sk2 | 2 | 2.4 | Chemsketch fil |
| 194190_figur_3_2.mrv | 3 | 3.2 | Marvin sketch fil |
| 194190_figur_3_2.sk2 | 3 | 3.2 | Chemsketch fil |
| 194190_datafil_4_1 | 4 | - | Excel datafil |
Klik her for at downloade alle filer.
Figurliste
| Opgave 1 | |
| Figur 1.1: | Peder K. Gasbjerg |
| Figur 1.2: | Kim Bruun |
| Figur 1.3: | Kim Bruun |
| Opgave 2 | |
| Figur 2.1: | Peder K. Gasbjerg |
| Figur 2.2: | Tina S. Schmidt |
| Figur 2.3: | Tina S. Schmidt |
| Figur 2.4: | Tina S. Schmidt |
| Opgave 3 | |
| Figur 3.1: | Colourbox |
| Figur 3.2: | Rune Harbo Lehmann |
| Figur 3.3: | Rune Harbo Lehmann |
| Figur 3.4: | Rune Harbo Lehmann |
| Figur 3.5: | Peder K. Gasbjerg |
| Opgave 4 | |
| Figur 4.1: | https://www.sciencephoto.com/media/180183/view |
| Figur 4.2: | Joan I. Sørensen |
| Figur 4.3: | Joan I. Sørensen |
| Figur 4.4: | Joan I. Sørensen |
