Studentereksamen
Prøvesættet må alene anvendes til den på prøvesættet anførte prøve.
Al anden
anvendelse af prøvesættet, herunder visning eller deling f.eks. via internettet, sociale
medier, portaler og bøger, udgør en krænkelse af Børne- og Undervisningsministeriets og
evt. tredjemands ophavsret og er ikke tilladt.
Overtrædelse af ophavsretten kan
være erstatningspådragende og/eller strafbart.
Prøvesættet kan dog, efter at
prøven er afsluttet, anvendes til undervisningsbrug på uddannelser m.v. omfattet af den
lovgivning, som Styrelsen for Undervisning og Kvalitet administrerer.
Opgave 1
Figur 1.1 Joan Ilsø Sørensen
Figur 1.2 Peder Kjær Gasbjerg
Figur 1.3 Joan Ilsø Sørensen
Figur 1.4 Peder Kjær Gasbjerg
Opgave 2
Figur 2.1 Rune Harbo Lehmann
Figur 2.2 Rune Harbo Lehmann
Figur 2.3 Rune Harbo Lehmann
Figur 2.4 Peder Kjær Gasbjerg
Figur 2.5 Peder Kjær Gasbjerg
Opgave 3
Figur 3.1 Kim Bruun
Figur 3.2 Peder Kjær Gasbjerg
Figur 3.3 Peder Kjær Gasbjerg
Opgave 4
Figur 4.1 Rune Harbo Lehmann
Figur 4.2 Rune Harbo Lehmann
Figur 4.3 Peder Kjær Gasbjerg
Af opgaverne 3 og 4 skal én og kun én af opgaverne besvares.
Verdens produktion af cement udledte i 2022 carbondioxid svarende til 8 % af verdens samlede udledning. Et af trinnene i cementproduktionen er omdannelse af det faste stof calciumcarbonat, CaCO3, til calciumoxid på fast form samt carbondioxid.
1. Opskriv reaktionsskemaet for denne omdannelse.
For at mindske udledningen af carbondioxid forsøger forskere at udnytte enzymer fra mikroorganismer, der kan gendanne calciumcarbonat fra den udledte carbondioxid. Reaktionsskemaet for et af trinnene i denne proces er vist i figur 4.1.
CO2 (aq) + 2 H2O (l) ⇌ HCO3- (aq) + H3O+ (aq)
Figur 4.1 Reaktionsskema for den omtalte reaktion.
Figur 4.2 viser ligevægtskoncentrationer og den tilhørende ligevægtskonstant for reaktionen vist i figur 4.1.
| [CO2] | [H3O+] | Kc |
| 0,020 M | 0,0058 M | 1,7·10-3 M |
2. Opskriv reaktionsbrøken for reaktionen vist i figur 4.1 og beregn aktuel stofmængdekoncentration af hydrogencarbonat, [HCO3-], ved ligevægt ud fra figur 4.2.
Hastigheden, hvormed ligevægten indstiller sig, er lav. Forskere har fundet et enzym kaldet carbonsyreanhydrase (CA), der katalyserer reaktionen i figur 4.1.
3. Forklar, hvorfor CA tilhører enzymhovedklassen lyaser.
For at masseproducere enzymet har forskere dyrket en modificeret udgave af E. coli med et indsat gen for CA. Inden det blev indsat, tilføjede forskerne sekvensen CAC-CAC-CAC-CAC-CAC-CAC til 3'-enden af den kodende streng af CA-genet umiddelbart før stopcodon.
Forskerne oprensede det modificerede CA ved hjælp af den chromatografiske metode søjlechromatografi. Den stationære fase indeholder kobber(2+), som binder stærkt til nitrogenatomer med ét ledigt elektronpar, se figur 4.3.
4. Forklar med udgangspunkt i figur 4.3, hvorfor indsættelse af 6 CAC-ripletter gør, at det modificerede CA binder sig til den stationære fase.
For at få CA frigivet fra søjlen igen, skal man have brudt bindingen mellem den stationære fase og det modificerede CA. N-atomet i aminosyren som binder til kobber(2+), har pKb = 7,9.
5. Forklar, hvorfor man kan bryde bindingen mellem den stationære fase og det modificerede CA ved at hælde en opløsning med pH = 4 gennem søjlen.
Risplanter har forskellige voksagtige molekyler på overfladen af deres blade for at undgå udtørring ved fordampning af vand. Hexacosan-1-ol er et af disse voksagtige molekyler, se figur 3.1.
Figur 3.1 Strukturformel for hexacosan-1-ol.
1. Forklar, hvorfor hexacosan-1-ol kan beskytte blade mod udtørring. Inddrag figur 3.1.
For at tilpasse ris til klimaforandringer har forskere krydset to forskellige ris-sorter, der er homozygote i et gen, som styrer dannelsen af prolin. Krydsningen er vist på figur 3.2. Den ene ris-sort er den mest anvendte i landbruget, og den anden ris-sort er en vild slægtning, som er mere tørketolerant.
I et indledende eksperiment krydsede man den dyrkede homozogote ris-sort, der har 10-20 µmol prolin pr. gram plante, med dens vilde homozogote slægtning, der har over 80 µmol prolin pr. gram plante. Det heterozygote afkom fik et prolinindhold på 50-80 µmol pr. gram plante. Herefter blev heterozygoterne selvbestøvet, og afkommet fik målt cellernes indhold af prolin.
Figur 3.2 Krydsningen af de to ris-sorter.
Indholdet af prolin i F2-planterne er vist i datafil3.1.
2. Afbild data vist i datafil3.1, så antal individer i generationen er grupperet efterfænotype.
3. Vurder, om data i datafil3.1 tyder på dominans eller ufuldstændig dominans.
Enzymet glycerolaldehyd-3-phosphat dehydrogenase (GAPDH) indgår i cellers energiomsætning som fx i den lysuafhængige proces1. Cellen producerer to versioner af GAPDH, hvor den ene bliver transporteret igennem en bestemt membran, mens den anden bliver i cytoplasmaet.
4. Forklar, hvorfor cellen har brug for begge versioner af GAPDH.
En mutation i en af de to versioner for GAPDH øger tørketolerencen hos ris. Denne mutation medfører et mere aktivt enzym, som forøger cellens produktion af ATP, men fotosyntesen påvirkes ikke.
De tre omtalte tilpasninger til tørke - mere voks på bladene, mere prolin i cellerne og mere aktivt GAPDH - er normalt forsvundet fra de dyrkede sorter af ris for at få bedre høstudbytte.
5. Forklar, hvorfor de tre omtalte tilpasninger ikke findes i ris-sorter med højt høstudbytte. Inddrag figur 3.3.
Fentanyl er et smertestillende stof, som også er stærkt vanedannende. Fentanyls strukturformel ses i figur 2.1.
Figur 2.1
A) Strukturformel og pKS for syreformen af Fentanyl. B) Strukturformel for baseformen af Fentanyl.
1. Angiv stofklasserne for de to markerede funktionelle grupper i figur 2.1B.
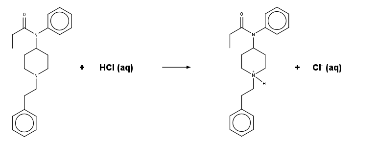
Fentanyl er en base, som har molarmassen 336,48 g/mol. Mængden af Fentanyl kan bestemmes ved titrering med saltsyre, hvor følgende reaktion sker:
Figur 2.2
Reaktionen mellem saltsyre og Fentanyl.
Politiet har beslaglagt noget pulver og skal have undersøgt hvor meget Fentanyl, der er i pulveret. Der blev udtaget en prøve af pulveret på 1,0 g, som blev opløst og herefter titreret med 0,100 M saltsyre. Ækvivalenspunktet blev bestemt til 11,8 mL.
2. Beregn massen af Fentanyl i prøven.
Fentanyl kan optages fra et plaster på huden. Huden har en pH på 5,5. Figur 2.3 viser bjerrumdiagrammet for Fentanyl.
Figur 2.3
Bjerrumdiagram for Fentanyl.
3. Forklar hvilken indflydelse, hudens pH har på optagelsen af Fentanyl gennem huden. Inddrag figur 2.1 og 2.3.
Fentanyl binder til µ-opioidreceptoren i neuroner. Figur 2.4 viser hvorledes Fentanyl sidder i dens bindingslomme.
Figur 2.4
Fentanyls binding til µ-opiodreceptoren. De tre røde strukturer i bindingslommen er sidekæder fra aminosyrer i receptoren.
4. Giv forslag til hvilke bindingstyper, der kan dannes mellem Fentanyl og µ-opioidreceptoren i områderne A, B og C på figur 2.4.
Fentanyl påvirker neuroner, der sender smertesignaler til hjernen, se figur 2.5.
Figur 2.5
Fentanyls påvirkning af neuroner.
5. Forklar med udgangspunkt i figur 2.5, hvorfor Fentanyl virker smertestillende.
Figur 1.1
Blæretang.
UV-stråling fra fx sollys kan i store mængder være skadeligt for huden. Derfor anbefales det, at man bruger solcreme for at beskytte huden. Man arbejder på at finde naturlige ingredienser, som kan anvendes i solcreme. Én af løsningerne findes måske i dansk blæretang, som indeholder forskellige stoffer, fx ß-caroten og phlorotanniner i varierende koncentrationer.
Figur 1.2 viser henholdsvis absorptionsspektret for ß-caroten og en phlorotannin.
Figur 1.2
Absorptionsspektre for ß-caroten og en phlorotannin.
1. Forklar, hvorfor phlorotanninen er bedre end ß-caroten som beskyttelse mod UV-stråling. Inddrag figur 1.2.
Phlorotanninernes struktur ligner hinanden. Et eksempel på en phlorotannin er dieckol, hvis strukturformel er vist i figur 1.3.
Figur 1.3
Struturformel for dieckol.
2. Argumentér for, om man skal anvende heptan, ethanol eller vand til at ekstrahere dieckol fra blæretang. Inddrag figur 1.3.
Sundhedsstyrelsen anbefaler, at man anvender en solcreme med mindst beskyttelsesfaktor 15 i Danmark.
Forskere lavede en solcreme med forskellige koncentrationer af ekstraktet med phlorotanniner fra blæretang og undersøgte, om det kan anvendes som beskyttelse imod UV-stråling.
Resultaterne fra undersøgelsen er vist i Datafil 1.1.
3. Afbild data fra datafil 1.1 og argumenter for, om ekstraktet fra blæretang kan fungere som solcreme i sin nuværende form.
Når celler udsættes for UV-stråling, er en af følgerne såkaldte thymin-dimerer. Påvirkningen fra UV-strålingen er vist i figur 1.4.

4. Giv forslag til, hvilke konsekvenser dannelsen af thymin-dimerer kan have for cellen.
Forskerne har en hypotese om, at brunalger anvender phlorotanniner til UV-beskyttelse.
5. Giv forslag til et eksperiment, forskerne kan lave for at undersøge, om blæretang anvender phlorotanniner som UV-beskyttelse in vivo1.
1 In vivo betyder, at eksperimentet udføres på en levende organisme, altså her blæretang.
Prøven
Opgavesættet består af 4 opgaver. Opgaverne 1 og 2 skal begge besvares. Kun en af opgaverne 3 og 4 skal besvares.
Opgavebesvarelsen
Din opgavebesvarelse skal afleveres i et samlet dokument, gemt i pdf-format.
Bedømmelse
Ved bedømmelsen af din besvarelse lægges vægt på din evne til, at:
Der gives én karakter på baggrund af en helhedsbedømmelse.
Tirsdag den 27. maj 2025
Kl 9.00-14.00