Studentereksamen
Prøvesættet må alene anvendes til den på prøvesættet anførte prøve.
Al anden
anvendelse af prøvesættet, herunder visning eller deling f.eks. via internettet, sociale
medier, portaler og bøger, udgør en krænkelse af Børne- og Undervisningsministeriets og
evt. tredjemands ophavsret og er ikke tilladt.
Overtrædelse af ophavsretten kan
være erstatningspådragende og/eller strafbart.
Prøvesættet kan dog, efter at
prøven er afsluttet, anvendes til undervisningsbrug på uddannelser m.v. omfattet af den
lovgivning, som Styrelsen for Undervisning og Kvalitet administrerer.
Opgave 1
Figur 1.1 Peder Kjær Gasbjerg
Figur 1.2 Peder Kjær
Gasbjerg
Figur 1.3 Peder Kjær Gasbjerg
Figur 1.4 Joan Ilsø Sørensen
Opgave 2
Figur 2.1 Colorbox
Figur 2.2 Peder Kjær Gasbjerg
Opgave 3
Figur 3.1 Peder Kjær Gasbjerg
Figur 3.2 Peder Kjær
Gasbjerg
Figur 3.3 Kim Bruun
Figur 3.4 Peder Kjær Gasbjerg
Opgave 4
Figur 4.1 Tina Sølbek Schmidt
Figur 4.2 Tina Sølbek
Schmidt
Figur 4.3 Peder Kjær Gasbjerg
Figur 4.4 Peder Kjær Gasbjerg
Figur 4.5 Peder
Kjær Gasbjerg
Af opgaverne 3 og 4 skal én og kun én af opgaverne besvares.
Østrogener omfatter blandt andet hormonerne østradiol og østron. Indtagelse af østrogener over fastsatte grænseværdier er mistænkt for at være hormonforstyrrende og kunne forårsage kræft hos mennesker.
Figur 4.1 Strukturen af østradiol.
Marvinsketchfil af figur 4.1, Chemsketchfil af figur 4.1
EU anbefaler en grænseværdi for østradiol i drikkevand på 1,10 nmol/L. Forskere har undersøgt
indholdet af østradiol i en vandprøve og fandt en koncentration på 1,07 g/L af
østradiol.
1. Beregn stofmængdekoncentration af østradiol i vandprøven og angiv, om grænseværdien for østradiol i drikkevand anbefalet af EU er overskredet.
Østradiol omdannes enzymatisk til østron af bakterier i naturen. Figur 4.2 viser reaktionsskemaet for omdannelsen af østradiol til østron.

Figur 4.2 Reaktionsskemaet for østradiols omdannelse til østron.
2. Redegør for hvilken enzymklasse enzymet, der omdanner østradiol til østron, tilhører. Inddrag figur 4.2.
3. Giv forslag til, hvorfor bakterier udfører reaktionen vist i figur 4.2.
Forskere er interesseret i, hvilke gener bakterier i naturen anvender for at omdanne østradiol. Et gens indflydelse på omdannelsen undersøges ved at overføre genet til et plasmid. Plasmidet bliver transformeret ind i en E. coli bakterie, som herefter dyrkes i et vækstmedium tilsat østradiol. Figur 4.3 viser resultater for TLC1 lavet på fire typer prøver:

Figur 4.3 Resultater fra TLC udført på rent østradiol, rent østron og seks ekstraherede prøver taget fra forskellige E. coli-kulturer; tre med og tre uden IPTG. IPTG aktiverer en transkriptionsfaktor for genet, der koder for enzymet til omdannelse af østradiol til østron.
4. Analysér figur 4.3.
En speciel type ELISA anvendes til måling af koncentrationen af østradiol i blodet. Figur. 4.4 viser, hvordan denne type ELISA virker ved måling af østradiol i en negativ kontrol (A) og to forskellige blodprøver (B og C).
Figur 4.4 Princippet i ELISA til måling af østradiol i blodet. Antistoffer tilsættes (1), antigen og blodprøve indeholdende østradiol tilsættes og bindes til antistof (2) og (3), substrat tilsættes (4).
Det har dog vist sig, at denne type ELISA nogle gange kan vise et for højt resultat på grund af forskellige antistoffer dannet af immunforsvaret. Figur 4.5 viser hvordan den på to forskellige måder kan give et for højt resultat.

Figur 4.5 ELISA der giver et for højt resultat på to forskellige måder, 1 og 2.
5. Forklar, hvorfor ELISA vist i figur 4.5 vil give for høje resultater for østradiol. Inddrag figur 4.4.
Af opgaverne 3 og 4 skal én og kun én af opgaverne besvares.
I figur 3.1 er vist et stamtræ fra en familie, hvor den sjældne arvelige sygdom hATTR forekommer. Sygdommen viser sig især som skader i nervesystemet.
Figur 3.1 Stamtræ fra familie, hvor sygdommen hATTR forekommer.
1. Analysér stamtræet på figur 3.1 og angiv mulige genotyper for personerne II-6 og III-5.
hATTR skyldes en mutation i genet for peptidet transthyretin, der normalt samles fire identiske monomere ad gangen til en tetramer. Mutationen påvirker ikke tetrameren, men monomeren kan fejlfoldes og aflejres i blandt andet det perifere nervesystem. Tidligere blev hATTR behandlet med lægemidlet Tafamidis, der stabiliserer tetrameren vist på figur 3.2.

Figur 3.2 Peptidet transthyretin kan gå i stykker og fejlfoldes, og den fejlfoldede version kan danne lange fibre, som aflejres i kroppen.
2. Opskriv reaktionsbrøken for ligevægten mellem tetrameren og monomererne og argumentér for, at reaktionsbrøken bliver mindre, når sygdommen behandles med Tafamidis.
For at Tafamidis hurtigst muligt kan placere sig i tetrameren, er det vigtigt, at der ikke er for mange bindinger med fri drejelighed.
Figur 3.3 Lægemidlet Tafamidis.
3. Vurder, om de i figur 3.3 markerede bindinger har betydning for Tafamidis' mulighed for hurtigt at placere sig i bindingslommen.
Tafamidis fungerer desværre ikke optimalt på grund af for mange bivirkninger. Et nyere lægemiddel kaldes Patisiran og bygger på RNA-teknologi. Man indfører et kort stykke dobbeltstrenget RNA på 21 basepar i cellerne som vist på figur 3.4.
Figur 3.4 Metode til at behandle hATTR med RNA-teknologi.
4. Forklar, hvad der sker på de fire markerede punkter på figur 3.4.
Patisiran skal være specifik for monomeren for at fungere som lægemiddel. RNA-strengens længde er vigtig for denne specificitet.
5. Forklar, hvorfor RNA-strengens længde i Patisiran er vigtig for lægemidlets specificitet.
| I Europa dækker vinproduktion 6 % af landbrugsområdet og stod tilbage i 2002 for 70 % af forbruget af svampedræbende midler - fx mod meldug. Det vigtigste svampedræbende middel er Bordeaux-blanding. Denne fremstilles ved først at lave en opløsning af calciumoxid i vand. Calciumoxid reagerer med vand og danner calciumioner og hydroxid: |
|
| Figur 2.1 Vinstok angrebet af svampen meldug. |
CaO(s) + H2O(l)
Ca2+(aq) + 2 OH-(aq)
I den traditionelle opskrift på Bordeuax-blanding er [OH-] = 0,36 M.
1. Beregn pH i denne opløsning.
Når calciumoxiden er opløst, tilsættes en opløsning indeholdende kobber(2+)ioner, som danner bundfald med hydroxid.
2. Skriv reaktionsskemaet for reaktionen mellem kobber(2+)ioner og hydroxid.
Kobber(2+)ioner binder sig stærkt til cystein-sidekæder, hvilket kan udnyttes til at hæmme svampecellers vækst.
3. Giv forslag til, hvorfor det kan hæmme svampecellers vækst, hvis kobber(2+)ioner bindes til sidekæder i cystein.
En ny tilgang til at forhindre svampeangreb på vinstokke er at bruge vinstokke med resistensgener. Forskere har identificeret to dominante resistensgener, P og E, som begge er nødvendige for, at vinstokken er resistent mod meldug. Forskerne har fundet vinstokke med genotyperne henholdsvis Ppee og ppEe. De oprindeligt dyrkede vinstokke har genotypen ppee.
4. Vis med krydsningsskema, hvordan man kan krydse sig frem til vinstokke, der er heterozygote med hensyn til begge gener.
Resistens er dog ikke udelukkende en fordel for vinstokken. Resistente vinstokke har sværere ved at indgå i symbiose1 med nyttige svampe til at lave såkaldt mykorrhiza. Det gør det vanskeligere for resistente vinstokke at optage næringsioner og vand - se figur 2.2.
Figur 2.2 Mykorrhizasvampe indgår i en symbiose med planter, hvorved planten bliver bedre i stand til at optage vand og næringsioner, mens svampen optager blandt andet glucose fra planten.
Vinstokke fundet i naturen har kun i beskedent omfang udviklet resistens over for meldug.
5. Diskuter fordele og ulemper, som vinstokke har ved at udvikle resistens over for meldug. Inddrag figur 2.2.
|
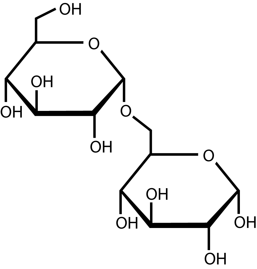
Isomaltose og sucrose er begge carbohydrater, som kroppen nedbryder i tyndtarmen
ved hjælp af enzymet Sucrase-isomaltase (SI). Strukturen af isomaltose er vist i figur 1.1. |
|
| Figur 1.1 Den kemiske struktur af isomaltose. |
1. Beskriv den kemiske struktur af isomaltose.
Mutationer, som medfører komplet tab af funktion for SI, er relativt sjældne hos mennesker, men i den arktiske region findes en mutation, som medfører en deletion i nucleotid nr. 273 og 274 i genet der koder for SI. Cirka 3 % af befolkningen her er homozygot for mutationen. Figur 1.2 viser, hvor mutationen i genet påvirker enzymet.
2. Forklar med udgangspunkt i figur 1.2, hvorfor den omtalte deletion af nucleotid nr. 273 og 274 i genet for SI vil medføre et komplet tab af funktion hos enzymet.
Forskere laver en SI-knockout muselinje, for at undersøge indflydelsen af forskellige typer af kost på musenes vægtforøgelse. Mus med et knockout af SI-enzymet sammenlignes med mus med en normal SI-enzymfunktion.
1.-aksen viser tiden efter musene ikke længere dier hos hunmusen.
3. Analysér resultaterne vist i figur 1.3.
For at undersøge reaktionshastigheden for SIs nedbrydning af isomaltose udføres en række forsøg. Data fra disse forsøg er vist i datafil1.1.
4. Beregn Km og vmax for SIs nedbrydning af isomaltose ud fra data i datafil 1.1 Antag, at enzymet følger Michaelis-Menten modellen.
Forskere undersøger, om glucose har en effekt på SIs aktivitet. For at undersøge, hvor stor indflydelse det har på reaktionshastigheden, at glucose er tilstede, udfører forskerne nogle forsøg og får nedenstående resultater.
5. Analysér resultaterne vist i figur 1.4.
Prøven
Opgavesættet består af 4 opgaver. Opgaverne 1 og 2 skal begge besvares.
Kun én af
opgaverne 3 og 4 skal besvares.
Opgavebesvarelsen
Din opgavebesvarelse skal afleveres i ét samlet dokument, gemt i pdf-format.
Bedømmelse
Ved bedømmelsen af din besvarelse lægges vægt på din evne til, at:
Der gives én karakter på baggrund af en helhedsbedømmelse.
Tirsdag den 28. maj 2024
Kl. 9.00-14.00