Bioteknologi A
Kl 09.00-14.00
Vejledning
Prøven
Opgavesættet består af 4 opgaver. Opgaverne 1 og 2 skal begge besvares. Kun én af opgaverne 3 og 4 skal besvares.
Opgavebesvarelsen
Din opgavebesvarelse skal afleveres i ét samlet dokument, gemt i pdf-format.
Bedømmelse
Ved bedømmelsen af din besvarelse lægges vægt på din evne til, at:
| - | anvende fagbegreber og fagsprog og relevante repræsentationer og modeller til beskrivelse, forklaring og analyse | |
| - | formulere sig struktureret om bioteknologiske emner, inddrage relevant viden og give sammenhængende faglige forklaringer | |
| - | vurdere eksperimentelt arbejde og dets tilrettelæggelse | |
| - | bearbejde data fra kvalitative og kvantitative eksperimenter og undersøgelser og vurdere resultaterne herfra | |
| - | analysere og diskutere data og eksperimentelle resultater under inddragelse af relevant faglig viden | |
| - | gennemføre og præsentere relevante beregninger ved korrekt brug af fagsprog, herunder anvende relevante matematiske modeller og metoder | |
| - | benytte relevante fagspecifikke digitale værktøjer hensigtsmæssigt | |
| Der gives én karakter på baggrund af en helhedsbedømmelse. | ||
Opgave 1 Glycinreceptoren
Glycin er et transmitterstof i centralnervesystemet, hvor det regulerer hjernens aktivitetsniveau ved hjælp af glycinreceptorer. Film1.1 viser proteinstrukturen af en glycinreceptor.
Film1.1 Proteinstrukturen af en glycinreceptor.
| 1. | Beskriv den tertiære og kvarternære struktur af glycinreceptoren, som er vist i Film1.1. |
Figur 1.1 viser en synapse, hvor glycin er transmitterstof.
| 2. | Skriv en figurtekst til figur 1.1. |
En sjælden mutation i genet, der koder for glycinreceptoren, fører til en sygdom kaldet arvelig skræmmesygdom (Hyperekplexia). Sygdommen er karakteriseret ved, at personen meget oftere bliver forskrækket, og at personen fx kan falde som følge af at blive skræmt. Figur 1.2 viser et stamtræ for en familie med arvelig skræmmesygdom.
| 3. | Analysér stamtræet i figur 1.2 og bestem sandsynligheden for, at et sjette barn af II-2 og II-3 får sygdommen. |
Undersøgelser har vist, at en gruppe af kemiske forbindelser kaldet ginkgolider, der kun findes i blade fra træet Ginkgo biloba, kan binde sig til glycinreceptoren. Figur 1.3 viser den kemiske struktur af ginkgolid A bundet til glycinreceptoren.
Figur 1.3 Glycinreceptoren (vist med turkis) med ginkgolid A bundet i bindingslommen af receptoren. Udvalgte aminosyrepositioner i glycinreceptoren er nummereret 1-3.
| 4. | Giv forslag til konkrete aminosyrer, der kan sidde i position 1, 2 og 3 i bindingslommen af glycinreceptoren og binde til ginkgolid A. |
Mutationen i glycinreceptoren hos personer med arvelig skræmmesygdom medfører, at glycins effekt på receptoren er formindsket. Ginkgolid A påvirker glycinreceptoren, som det er vist på figur 1.4. Forskere er i tvivl om ginkgolid A vil forbedre eller forværre sygdommen.
| 5. | Argumentér for, om gingkolid A kan bruges til behandling af arvelig skræmmesygdom. Inddrag figur 1.1 og figur 1.4. |
Opgave 2 Malat
|
Malat er uønsket i rødvin, fordi den giver en sur smag. Det er derfor vigtigt for vinbonden at kende den ufærdige vins koncentration af malat. For specifikt at måle koncentrationen af malat tilsætter man NAD+ og enzymet malat dehydrogenase til en prøve af vinen. Reaktionsskemaet er vist i figur 2.2.
Koncentrationen af NADH kan måles med et spektrofotometer, da NADH absorberer lys ved 340 nm. Absorbansen for hver prøve er målt før (Afør) og efter (Aefter), der blev tilsat enzymet malat dehydrogenase.
|
Figur 2.1 Vin indeholder mange organiske syrer. |
| 2. | Beregn koncentrationen af malat i vinprøven ud fra data vist i datafil2.1. |
I forbindelse med at en elev vil bruge den beskrevne metode til at måle koncentrationen af malat i en prøve af vin, laver eleven en fortyndingsserie. Film2.1 viser hvordan, eleven laver denne fortyndingsserie.
| 3. | Se film2.1 og vurder kvaliteten af fremstillingen af standardopløsningerne ud fra tre selvvalgte detaljer. |
Malat er syreresten af æblesyre. For smagens skyld sætter vinbonden ofte den såkaldte malolaktiske gæring i gang efter ethanolgæringen. Her omdannes æblesyre til mælkesyre. Figur 2.3 viser denne omdannelse.
| 4. | Argumentér for, om vinen bliver mere eller mindre sur efter den malolaktiske gæring. Inddrag relevante pKs fra figur 2.3. |
Malat indgår også i cellers intermediære stofskifte, se figur 2.4. Først omdannes malat til pyruvat i cytosolen1 og bagefter omsættes pyruvat som sædvanlig i det intermediære stofskifte. Under aerobe omstændigheder kan malat respireres fuldstændigt med et udbytte på cirka 14 ATP pr. malat.
| 5. | Argumentér for, at ATP-udbyttet af malats respiration bliver cirka 14 ATP. |
1 Cytosolen er den flydende del af cytoplasmaet udenom organellerne.
Af opgaverne 3 og 4 skal én og kun én af opgaverne besvares.
Latex anvendes i forskellige gummiprodukter som fx engangshandsker. Latex udvindes traditionelt af saften fra gummitræet (Hevea brasiliensis). Saften er en heterogen blanding af vand, gummipolymerer og proteiner. Gummipolymeren består af mange gentagelser af strukturen, som er vist i figur 3.1.
Marvinsketchfil af figur 3.1
Chemsketchfil af figur 3.1
For at gummipolymererne kan holdes svævende i træsaften, er de pakket ind i ladede proteiner. Disse strukturer kaldes latexpartikler. Figur 3.2 viser, hvorledes latexpartiklerne holdes svævende i træsaften.
Den negative ladning på overfladen skyldes, at mange af overfladeproteinernes aminosyrer er aspartat. Latexpartiklerne kan adskilles fra vandet i træsaften ved at tilsætte syre. Figur 3.3 viser ligevægten mellem aspartats sidekæde og oxonium.
Et af proteinerne i træsaften kaldes hevein. I træsaften er koncentrationen af hevein omkring 100 μg/mL. I et forsøg undersøges heveins funktion i træsaften ved at udsætte forskellige svampearter for hevein. Resultaterne fra forsøget ses i figur 3.4.
Hevein er ofte skyld i, at folk har allergi overfor produkter lavet af latex. Allergi skyldes, at immunforsvarscellerne opfatter hevein som et antigen. Figur 3.5 viser et udsnit af et alignment af aminosyresekvensen for hevein fra gummitræet med lignende sekvenser for allergene proteiner i henholdsvis avocado, banan og solsikke.
Opgave 3 Gummi fra gummitræet
Latex anvendes i forskellige gummiprodukter som fx engangshandsker. Latex udvindes traditionelt af saften fra gummitræet (Hevea brasiliensis). Saften er en heterogen blanding af vand, gummipolymerer og proteiner. Gummipolymeren består af mange gentagelser af strukturen, som er vist i figur 3.1.
Figur 3.1 Udsnit af en gummipolymer. Prikkerne angiver, at
molekylet forsætter med gentagelser af den viste struktur.
molekylet forsætter med gentagelser af den viste struktur.
Marvinsketchfil af figur 3.1
Chemsketchfil af figur 3.1
| 1. | Angiv, om den viste struktur i figur 3.1 er i (E)- eller (Z)-konfiguration. Begrund dit svar. |
|
| 2. | Forklar, hvorfor gummipolymererne ikke kan opløses i den vandige træsaftopløsning. Inddrag figur 3.1. |
For at gummipolymererne kan holdes svævende i træsaften, er de pakket ind i ladede proteiner. Disse strukturer kaldes latexpartikler. Figur 3.2 viser, hvorledes latexpartiklerne holdes svævende i træsaften.
Figur 3.2 Latexpartikler i træsaften.
Den negative ladning på overfladen skyldes, at mange af overfladeproteinernes aminosyrer er aspartat. Latexpartiklerne kan adskilles fra vandet i træsaften ved at tilsætte syre. Figur 3.3 viser ligevægten mellem aspartats sidekæde og oxonium.
Figur 3.3 Syrebaseligevægten for aspartats sidekæde.
| 3. | Forklar, hvorfor man kan udfælde latex fra træsaften ved at tilsætte syre. Inddrag figur 3.2 og figur 3.3. |
Et af proteinerne i træsaften kaldes hevein. I træsaften er koncentrationen af hevein omkring 100 μg/mL. I et forsøg undersøges heveins funktion i træsaften ved at udsætte forskellige svampearter for hevein. Resultaterne fra forsøget ses i figur 3.4.
Figur 3.4 Resultater fra forsøg med svampevækst ved forskellige koncentrationer af hevein. Den relative svampevækst er defineret som størrelsen af svampen, når hevein er til stede i forskellige koncentrationer i forhold til størrelsen af svampen uden hevein. Den naturlige koncentration af hevein i gummitræet er 100 μg/mL.
| 4. | Analysér figur 3.4. |
Hevein er ofte skyld i, at folk har allergi overfor produkter lavet af latex. Allergi skyldes, at immunforsvarscellerne opfatter hevein som et antigen. Figur 3.5 viser et udsnit af et alignment af aminosyresekvensen for hevein fra gummitræet med lignende sekvenser for allergene proteiner i henholdsvis avocado, banan og solsikke.
Figur 3.5 Et alignment af hevein fra gummitræ med beslægtede aminosyresekvenser fra avocado, banan og solsikke.
| 5. | Giv en mulig forklaring på, hvorfor personer, som er allergiske overfor produkter lavet af latex, ofte også er allergiske overfor banan og avocado, men sjældent for solsikke. Inddrag figur 3.5. |
Af opgaverne 3 og 4 skal én og kun én af opgaverne besvares.
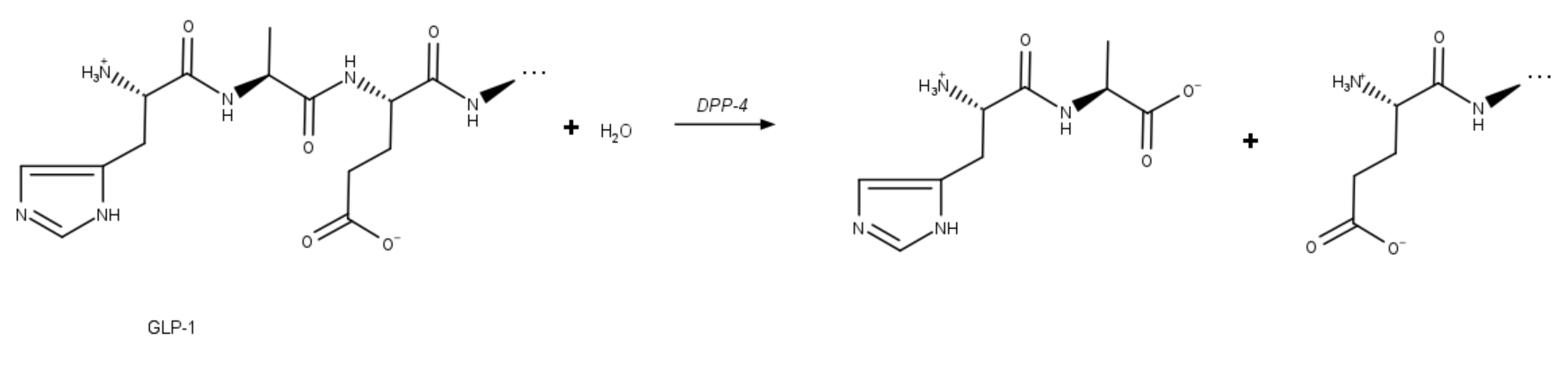
Figur 4.2 Reaktionsskema for nedbrydningen af GLP-1 ved hjælp af DPP-4. De første tre aminosyrer af peptidkæden er angivet. Prikkerne angiver, at peptidkæden fortsætter.
For at undersøge halveringstiden for GLP-1 i blodplasma har man udført et forsøg, hvor man har målt koncentrationen af intakt GLP-1 som funktion af tiden efter optagelsen af GLP-1. Data fra forsøget er afbildet i nedenstående graf.
På grund af den meget hurtige nedbrydning af GLP-1 i kroppen har forskerne udviklet en analog af GLP-1, kaldet semaglutid, som ikke nedbrydes nær så hurtigt af DPP-4. Molarmassen for semaglutid er 4114 g/mol. Forsøgspersoner med et plasmavolumen på 2,5 L fik i et forsøg indsprøjtet 0,50 mg semaglutid lige under huden.
Forskerne målte den aktuelle stofmængdekoncentration af semaglutid optaget i plasmaet under forsøget. Resultaterne er vist i figur 4.4.
Forskerne har en hypotese om, at semaglutid har potentiale som slankemiddel. 68 overvægtige personer i alderen 20-59 år deltog i et eksperiment. Alle forsøgspersonerne fik vejledning i sund livsstil, og derefter vejede man alle forsøgspersoner hver 4. uge i 52 uger. En gruppe på 42 personer fik en ugentlig indsprøjtning med semaglutid, mens en gruppe på 26 personer fik en ugentlig indsprøjtning med saltvand. Data fra forsøgspersonernes vejninger er angivet i excelfilen datafil4.1.
Opgave 4 Behandling af overvægt
| Glucagon-lignende peptid 1 (GLP-1) er et naturligt hormon i kroppen, som blandt andet øger mæthedsfornemmelsen ved at nedsætte mavesækkens tømningshastighed. GLP-1 nedbrydes meget hurtigt i kroppen af enzymet DPP-4. Reaktionsskemaet for reaktionen er vist i figur 4.2. |
Figur 4.1 Flere og flere bliver overvægtige. |
Figur 4.2 Reaktionsskema for nedbrydningen af GLP-1 ved hjælp af DPP-4. De første tre aminosyrer af peptidkæden er angivet. Prikkerne angiver, at peptidkæden fortsætter.
| 1. | Angiv, hvilken enzymklasse enzymet DPP-4 tilhører. |
For at undersøge halveringstiden for GLP-1 i blodplasma har man udført et forsøg, hvor man har målt koncentrationen af intakt GLP-1 som funktion af tiden efter optagelsen af GLP-1. Data fra forsøget er afbildet i nedenstående graf.
Figur 4.3 Data fra nedbrydningen af GLP-1 i blodplasma. Forskriften for regressionen er angivet.
| 2. | Beregn halveringstiden for GLP-1 i blodplasma. |
På grund af den meget hurtige nedbrydning af GLP-1 i kroppen har forskerne udviklet en analog af GLP-1, kaldet semaglutid, som ikke nedbrydes nær så hurtigt af DPP-4. Molarmassen for semaglutid er 4114 g/mol. Forsøgspersoner med et plasmavolumen på 2,5 L fik i et forsøg indsprøjtet 0,50 mg semaglutid lige under huden.
| 3. | Vis, at den formelle stofmængdekoncentration af semaglutid i plasma er 49 nmol/L, hvis det antages, at al semaglutid optages i plasma. |
Forskerne målte den aktuelle stofmængdekoncentration af semaglutid optaget i plasmaet under forsøget. Resultaterne er vist i figur 4.4.
Figur 4.4 Plasmakoncentrationen af semaglutid efter indsprøjtning af 0,50 mg semaglutid lige under huden.
| 4. | Analysér figur 4.4. |
Forskerne har en hypotese om, at semaglutid har potentiale som slankemiddel. 68 overvægtige personer i alderen 20-59 år deltog i et eksperiment. Alle forsøgspersonerne fik vejledning i sund livsstil, og derefter vejede man alle forsøgspersoner hver 4. uge i 52 uger. En gruppe på 42 personer fik en ugentlig indsprøjtning med semaglutid, mens en gruppe på 26 personer fik en ugentlig indsprøjtning med saltvand. Data fra forsøgspersonernes vejninger er angivet i excelfilen datafil4.1.
| 5. | Afbild grafer for det gennemsnitlige vægttab som funktion af forsøgsperioden for 30-39-årige for de to grupper og argumentér for, om graferne understøtter forskernes hypotese. |
Filer til opgaverne
| Filnavn | Opgave | Figur | Beskrivelse |
| 194094_datafil_2_1.xlsx | 2 | 2.1 | Excel datafil |
| 194094_figur_3_1.sk2 | 3 | 3.1 | Chemsketch fil |
| 194094_figur_3_1.mrv | 3 | 3.1 | Marvin sketch fil |
| 194094_datafil_4_1.xlsx | 4 | 4.1 | Excel datafil |
Klik her for at downloade alle filer.
Figurliste
| Opgave 1 | |
| Film1.1: | Peder Kjær Gasbjerg |
| Figur 1.1: | Peder Kjær Gasbjerg |
| Figur 1.2: | Peder Kjær Gasbjerg |
| Figur 1.3: | Peder Kjær Gasbjerg |
| Figur 1.4: | Peder Kjær Gasbjerg |
| Opgave 2 | |
| Figur 2.1: | (foto) Colourbox |
| Figur 2.2: | Kim Bruun |
| Film2.1: | Kim Bruun og Morten Bak Hansen |
| Figur 2.3: | Peder Kjær Gasbjerg og Kim Bruun |
| Opgave 3 | |
| Figur 3.1: | Rune Harbo Lehmann |
| Figur 3.2: | Peder Kjær Gasbjerg |
| Figur 3.3: | Rune Harbo Lehmann |
| Figur 3.4: | Rune Harbo Lehmann |
| Figur 3.5: | Rune Harbo Lehmann |
| Opgave 4 | |
| Figur 4.1: | (foto) Colourbox |
| Figur 4.2: | Joan Ilsø Sørensen |
| Figur 4.3: | Joan Ilsø Sørensen |
| Figur 4.4: | Joan Ilsø Sørensen |
